KEY
TAKEAWAYS
Польские шеволежеры
В 1809 году, после успеха при Ваграме, полк получил пики и стал называться шеволежер-уланским.
25 октября 1812 года польские шеволежеры спасли Наполеона от плена, отбив внезапную атаку казаков под Городней.
Польские кавалеристы считались одними из лучших наездников Европы того времени и оставались верны императору до его отречения в 1814 году.
Кампании, в которых принимала участие польская легкая кавалерия
☆ 1808-1811 годы: Испания — Сарагоса, Альбуфера;
☆ 1808 год: Австрия – Ваграм;
☆ 1812 год: Россия — Витебск, Островно, Смоленск, Бородино, Березина;
☆ 1813 год: Саксония — Моккерн, Кульм, Лютцен, Баутцен, Дрезден, Лейпциг;
☆ 1814 год: Франция — Шампобер, Вошан, Ла Ротьер, Монмираль.
Формирование регулярной кавалерии Великого герцогства Варшавского
Официальным началом формирования регулярной кавалерии будущего Варшавского герцогства, которую представляли себе как национальную кавалерию, стала прокламация генерала Домбровского от 19 ноября 1806 года «к гражданам Познанского воеводства о предоставлении лошадей с уздечками для кавалерии» (do obywateli województwa poznańskiego, względem przystawienia koni z uzdami dla kawalerii).
Ссылаясь на «рвение граждан, которое единственное способно удовлетворить неотложные потребности», Домбровский определил количество лошадей, необходимых для кавалерии в создаваемом им легионе в Познанском воеводстве. Было подсчитано, что лошадей, отвечающих требованиям, среди дворянских и городских было 18 277, из которых каждая десятая должна была быть передана в распоряжение кавалерии, что в итоге давало 1 822 лошади для кавалерии, формируемой из призывников.
Вместе с лошадью граждане были обязаны предоставить всадника, «умеющего ездить верхом, снабженного фуражем и провизией на четыре дня, а также обычное седло, мундштук, гребень, щетку и попону».
За предоставленных лошадей должно было заплатить создаваемое в будущем национальное правительство. Крестьянские лошади не подлежали призыву, так как были нужны для сельского хозяйства и военных перевозок.
Первоначально Домбровский намеревался создать при своем легионе один полк регулярной кавалерии численностью 2 000 человек, наряду с формирующимися там же различными добровольческими отрядами.
В Калишском легионе началось формирование второго кавалерийского полка по аналогичным принципам.
После захвата Варшавы войсками Иоакима Мюрата 27 ноября 1806 года правая часть страны за рекой Вислой, за исключением австрийской части, была охвачена восстанием и очищена французскими войсками от остатков прусских отрядов и администрации. Здесь тоже вскоре приступили к формированию регулярных полков и объявили всеобщий призыв.
Был объявлен набор по одной лошади на кавалерию из 40 домов «пригодной к службе, среднего роста, здоровой, с седлом, мундштуком, уздечкой, скребком, щеткой и попоной». Распоряжение налагало на граждан обязанность предоставить вместе с этими лошадьми «всадников-добровольцев, годных к службе, что каждому будет засчитано в заслугу».
Создание основ кавалерии в формирующейся армии Варшавского княжества продолжалось с ноября 1806 года по март следующего года. Усилия были направлены на сбор подходящих всадников и лошадей из призывников, на то, чтобы все землевладельцы сели на лошадей в качестве ополчения, а также на организационное оформление создаваемых добровольческих партизанских отрядов. Из этих трех источников пополняли свои ряды все кавалерийские полки Княжества, которые в количестве шести были включены в исправленный штат войска в марте 1807 года.
Разработанный генералом Домбровским первоначальный штат линейной кавалерии, созданный по образцу французского, предусматривал в полку: 40 офицеров, 116 унтер-офицеров, ремесленников и трубачей, 635 рядовых.
В общей сложности 812 человек.
Ни один из нескольких полков, сформированных на рубеже 1806 и 1807 годов, не достиг такого штата. Организация регулярных отрядов шла очень вяло. Не хватало лошадей, подходящих призывников и подготовленных кадров, средств, оружия, седел и снаряжения.
Призыв к самоотверженности граждан не везде находил понимание и поддержку. В полках распространялись болезни и дезертирство.
Спешка с отправкой формирующихся отрядов в бой приводила к тому, что кавалеристы садились на лошадей без подков, взятых прямо с пастбищ, многие ехали без седел, верхом на голой спине лошади, а часть шла пешком.
На территории, входившей в организационную структуру легиона генерала Домбровского, формированием кавалерии из призывников занимались полковник Францишек Гарчинский (Franciszek Garczyński) и полковник Целестин Сокольницкий (Celestyn Sokolnicki). Собранные ими отряды стали зародышем будущего кавалерийского полка полковника Казимира Турно (Kazimierza Turno), названного позднее 1, а после реорганизации войск в июне 1807 года — 5-м полком конных стрелков.
В обширной литературе о войсках Варшавского княжества часто цитируется новый штат кавалерии в трех легионах от 18 января 1807 года.
По этому штату в каждом легионе должен был быть отдельный кавалерийский полк из шести эскадронов, имеющих следующий состав: 1 полковник, 6 шефов эскадронов, 1 старший адъютант (капитан), 2 старших унтер-офицера, 12 капитанов, 12 поручиков, 12 подпоручиков, 12 старших сержантов, 48 шефов-бригадиров (младших сержантов), 96 бригадиров (капралов), 24 трубача, — 12 кузнецов, 1 800 кавалеристов.
Всего — 2050 чел.
Стоит обратить внимание на то, что этот штат в тогдашних условиях войны, организационного хаоса, придания полков другим легионам и медленного поступления приказов из Варшавы так и не был реализован, а через три месяца был коренным образом изменен.
Об этом, в частности, свидетельствует доклад генерала Домбровского о состоянии его дивизии от 15 февраля 1807 года, в котором он перечисляет три линейных полка, находившихся под его командованием: 1-й полк национальной кавалерии Яна Михала Домбровского (1-й полк конных стрелков), 1-й полк лёгкой кавалерии Казимира Дзевановского (6-й полк улан), 2-й полк конных стрелков Францишка Гарчинского.
Этот отчет интересен разнообразием используемых названий кавалерийских подразделений и первым употреблением названия «конные стрелки», хотя «полк» Гарчинского имел силу всего лишь эскадрона. Позже он пополнил ряды других полков и перестал существовать.
Иконографических свидетельств об униформе этой первой кавалерии не сохранилось. Учитывая разнообразные условия её формирования, индивидуализм и самостоятельные действия зачастую случайных командиров, можно предположить, что одежда была разнообразной, тем более что в этом отношении не существовало никаких предписаний. Хотя универсалы предписывали поставлять призывников-заместителей, одетых в провинциальные мундиры с куртками и шапками, скроенными по образцу военной национальной кавалерии, но с их выполнением дело обстояло по-разному. В таких мундирах должны были также предстать под знамя «рыцари» на всеобщее ополчение.
В основном речь шла о темно-синих куртках с отворотами в цветах воеводства, квадратной шапке с черным овечьим мехом и белым пером. «Рыцари» из Серадза, например, выступили в бирюзовых куртках с черными отворотами и золотыми пуговицами, а на головах у них были бирюзовые четырехгранные шапки.
Носили также чиновничьи мундиры, и, как вспоминает Леон Дембовский (Leon Dembowski):
Оружием должны были быть палаш (сабля) и пистолеты. Почтовые (рядовые) должны были быть одеты в куртки и бриджи из серого сукна, такую же шапку с окантовкой из черного сукна вместо бараньей, а их вооружением должны были быть палаш или пика «длиной 6 локтей», пистолеты и карабины.
26 января 1807 года Комитет управления герцогства Варшавского утверждает новую штатную организацию легионов, в рамках которой принято решение о формировании двух-трех эскадронных полков легкой кавалерии в каждом легионе, штабы которых состояли из: 1 полковника, 1 майора, 3 шефов эскадрона, 1 старшего адъютанта (капитана), 2 старших унтер-офицеров (сержантов), 1 хирурга 1-го класса, 1 хирурга 2-го класса, 1 квартирмейстера (капитана), 1 казначея (капитана), 1 штаб-фурьера, 1 штаб-трубача, 1 ветеринара, 1 шорника, 1 оружейного мастера, 1 сапожника, 1 портного.
Всего — 19 человек.
Каждый из трех эскадронов состоял из двух рот.
Рота разделялась на три взвода и состояла из: 1 капитана, 1 поручика, 1 подпоручика, 1 старшего сержанта, 4 сержантов, 1 фурьера, 8 бригадиров, 2 трубачей, 1 кузнеца, 150 кавалеристов.
Всего — 170 человек.
В результате эскадрон насчитывал 340 человек, а полк – 1 039 человек.
В феврале 1808 года к штабу полка был добавлен штандартоносец.
Практическая реализация организационного декрета от 26 января 1807 года состоялась только в марте, когда польская армия достигла полного штатного состава.
Боевые действия зимы-весны 1807 года
Кавалерия герцогства Варшавского в течение зимы и весны 1807 года вела активные действия, сопровождавшиеся непрерывными и изнурительными маршами, длительными разведывательными походами и отражением атак прусских партизан из засад.
Польские кавалеристы, действуя небольшими комбинированными отрядами численностью от 50 до 150 всадников, а иногда силами отдельных взводов или рот, выполняли сложные оперативные задачи. Отсюда и нередко встречающееся в мемуарах и исторических источниках указание на эскадроны, численность которых не превышала 150 человек, или полки с составом менее 800 лошадей, что может вводить в заблуждение.
В Поморье не происходило ярких сражений между кавалерийскими полками; вместо этого война сводилась к частым небольшим схваткам и изнурительной службе по патрулированию, в условиях зимнего холода и непролазной грязи весенней распутицы.
Изменение нумерации легионов и полков
4 июня 1807 года военный министр князь Юзеф Понятовский произвел изменения в нумерации легионов и полков. В результате Первый Познаньский легион Домбровского получил номер «3», тогда как Третий Варшавский легион, которым командовал сам Понятовский, был переименован в Первый. При этом Второй Калишский легион под командованием Зайончека сохранил прежний номер.
Причина такого решения заключалась в стремлении Понятовского, занявшего пост военного министра герцогства Варшавского и остававшегося командующим Варшавским легионом, оттеснить на второй план Домбровского, который ранее фактически возглавлял польскую армию.
В результате изменений нумерации 1-й и 2-й кавалерийские полки стали 5-м и 6-м, а 5-й и 6-й, соответственно, 1-м и 2-м.
Причисление полков к определенному виду кавалерии
В связи с тем, что все полки имели большие различия в вооружении и обмундировании, их было трудно причислить к какому-то конкретному виду кавалерии. Тем не менее, беря пример с победоносных наполеоновских войск, военный министр решил впервые создать в Польше полки конных егерей. Изначально четыре полка из шести кавалерийских — 1-й, 3-й, 4-й и 5-й получили название конных стрелков. Однако трудности с вооружением помешали в полной мере реализовать этот проект — из него выпали полки 3-й и 4-й. 3-й полк вернулся по организации к уланским -2-му и 6-му полкам.
Осознавая ограниченные финансовые ресурсы Варшавского герцогства, Наполеон решил взять на своё обеспечение часть польской армии. 27 ноября 1807 года польские легионы были преобразованы в дивизии, и до начала кампании 1809 года никаких изменений, касающихся кавалерии, не осуществлялось.
Состав польских уланских полков в 1809 году
Накануне надвигавшейся войны с Австрией Наполеон предписал к марту 1809 года увеличить численность кавалерийских полков до 1 074 человек, развернув каждый из трех в четыре двухротных эскадрона.
В связи с нехваткой кадров, недостатком лошадей и вооружения, Понятовский решился на изменение штатной организации кавалерийских полков, в которых теперь должны быть два боевых эскадрона, полностью укомплектованных и вооруженных, силой в 340 человек.
Штаб полевых эскадронов имел следующий состав: 1 полковник, 2 шефа эскадрона, 2 старших адъютанта, 2 штандартоносца, 4 хирурга, 2 старших сержанта, 1 штаб-трубач, 6 обозных солдат.
Всего-20 человек.
Третий эскадрон, состоящий из штаба, восьми офицеров, 30 унтер-офицеров, четырех трубачей и 20 шеренговых был полковым депо, в котором собиралось и обучалось пополнение для линейных эскадронов.
Штаб эскадрона-депо имел состав: 1 майор, 1 шеф эскадрона, 2 хирурга, 1 старший сержант, 3 мастеровых.
Всего — 8 человек.
В таком составе кавалерия и вступила в войну.
Сразу же по завершении австрийской кампании, Понятовский приступил к формированию 10 новых кавалерийских полков, три из которых формировались на территории герцогства, а остальные — в Галиции, которая отошла по результатам войны к герцогству Варшавскому.
Эти полки организовывались на средства местных землевладельцев, ставших в дальнейшем их полковниками. Данные полки вошли во «франко-галицийскую армию», получив временную нумерацию, просуществовавшую до декабря 1809 года:
| Старый № | Новый № | Командир |
|---|---|---|
| 1-й уланский* | 7-й уланский | полковник А.Завадский |
| 2-й уланский | 8-й уланский | полковник К.Розвадовский |
| 3-й уланский* | 9-й уланский | полковник Ф.Пжишиховсий |
| 4-й уланский | 11-й уланский | полковник граф А.Потоцкий |
| 5-й уланский | 12-й уланский | полковник Г.Жишчевский |
| 6-й уланский | 15-й уланский | полковник А.Тжецевский |
| 7-й уланский | 16-й уланский | полковник М.Тарновский |
| 1-й кирасирский | 14-й кирасирский | полковник С.Малаховский |
| 1-й гусарский | 13-й гусарский | полковник Ю.Толиньский |
| 2-й гусарский* | 10-й гусарский | полковник Н.Уминьский |
* — эти полки формировались на территории Великого герцогства Варшавского
Среди недавно сформированных, преимущественно уланских полков, были созданы также два гусарских. Этот тип кавалерии, довольно затратный для финансово ограниченного герцогства Варшавского, появился благодаря воинственному энтузиазму молодёжи, стремившейся выделиться яркими мундирами. Вдобавок, многие поляки, ранее служившие в аналогичных австрийских полках, хотели продолжить службу именно в гусарах. Кроме того, в ходе военных действий было захвачено значительное количество австрийских военных складов, что значительно облегчило обеспечение обмундированием новых гусарских подразделений.
28 декабря 1809 года «франко-галицийская армия» была официально включена в состав армии великого герцогства Варшавского.
Участие польских улан в кампании 1809 года
Весной 1809 года 7-й австрийский корпус под командованием эрцгерцога Фердинанда, насчитывавший в своих семи бригадах 25 батальонов, 44,5 эскадрона, 25 тысяч человек пехоты, 5 тысяч человек кавалерии, 3 тысячи человек артиллерии и других мелких подразделений с 94 орудиями, вторгся в границы Варшавского герцогства и приближался к столице. Понятовский собрал все силы, чтобы выставить заслон, а кроме того, начал в департаментах спешное формирование новых полков на тех же началах, что и в 1806 году.
Вся кавалерия силой в три полка улан и два полка конных стрелков, общей численностью 3 500 человек, была сведена под командование генерала Рожнецкого.
10 апреля 1809 года он получил приказ на проведение разведывательных действий с целью установления сил неприятеля, потенциальных направлений ударов, а также всячески препятствовать его продвижению вглубь страны. Тем не менее, действия разведывательной группы генерала Рожнецкого в районе Варки, Мнишева, Старой Вси, Груеца и Новемясто были неоправданно медлительны и слишком осторожны.
Польские отряды кавалерии в постоянных стычках продвигались по болотистым, размокшим дорогам под напором более сильного неприятеля, колонны которого шли над рекой Пилицей краковским трактом через Тарчин к Варшаве. Понятовский со своей маленькой армией, насчитывающей около 10 тысяч человек (без учета кавалерии), преградил дорогу австрийцам под Ратином, где, пользуясь естественной водной преградой, приказал дать сражение.
Участие кавалерии в битве под Ратином было незначительным. Рельеф местности, подмокший грунт и вязкая дамба свели на нет действия конных полков, а потому их единственная схватка произошла утром 19 апреля с авангардом эрцгерцога Фердинанда под Надаржином, после чего кавалеристы отступили к главным силам польской армии для обеспечения её флангов.
Когда началось сражение, кавалерия была направлена в тыл, за пехоту и артиллерию на варшавский тракт. После битвы, когда польские части отступили на Варшаву, кавалерия стала на некотором расстоянии от места с целью прикрытия отхода и проведения разведки.
23 апреля польское войско эвакуировало Варшаву и перешло на правый берег Вислы в районе Модлина и Новыдвора. Настроение среди солдат было тяжелым, пошатнулась дисциплина и доверие командованию.
В конце апреля 1809 года из кавалерийских полков выделяются отряды для проведения глубоких рейдов по тылам противника. В их задачу входят как диверсионные акции, так и подъем восстания на территории Австрийской Галиции.
Был возвращен Люблин и взята сильная крепость Замостье. Главнокомандующий издал воззвание к народу освобожденных земель о вступлении в ряды польского войска. В направлении Львова был послан передовой отряд кавалерии, с триумфом вошедший в город.
Конные стрелки совместно с уланами успешно сражались с австрийцами в районе Залешчик и Тарнополя, выслеживая, нападая и беспокоя группу войск генерала Антона Бикинга, сложившую, в конечном счете, оружие 18 июля.
Последняя фаза военных действий 1809 года — это результат усилий Понятовского, Домбровского и Зайончека по преследованию уходящего корпуса эрцгерцога Фердинанда, вызванного на западный театр военных действий против Наполеона. Результат завершающего сражение той кампании полностью принадлежит кавалерии, совершившей 14 июля по приказу князя Понятовского семь превосходных атак.
В 7-ом часу утра 15 июля 1809 года польские войска торжественно вступили в столицу польских королей — Краков. В авангарде шли два заслуженных полка кавалерии — 5-й полк конных стрелков и 6-й полк улан. Они же, вместе с конной артиллерией, составляли голову штурмовой колонны, которая должна была открыть дорогу к центру города, где ворота заняли союзные русские войска. Перед идущими галопом кавалерией и артиллерией русские части расступились.
Война 1809 закончилась для Варшавского герцогства победой.
Новая организация польской армии
30 марта 1810 года саксонский король Фридрих-Август утвердил новую организацию польской армии, согласно которой по штату в войске герцогства Варшавского должно было быть 15 полков легкой кавалерии, состоящих из 4 эскадронов, по две роты в каждом, в роте по 100 человек, и одного полка кирасир, состоящего из двух эскадронов.
Всего кавалерия насчитывала 124 роты, общей численностью 12 400 человек.
Внутренняя организация полков легкой кавалерии была постоянной и включала штаб и 4 двухротных эскадрона.
Штаб состоял из: 1 полковника, 1 майора, 2 шефов эскадронов, 1 казначея, 2 старших адъютантов, 1 хирурга 1-го класса, 2 хирургов 2-го класса, 2 хирургов 3-го класса, 1 капеллана, 1 штандартоносца, 2 адъютантов-сержантов, 1 старшего трубача, 1 ветеринара, 1 мастера-оружейника, 1 мастера-шорника, 1 мастера-портного, 1 мастера-сапожника, 1 брючного мастера.
Полковые офицеры: 3 капитана 1-го класса, 5 капитанов 2-го класса, 4 поручика 1-го класса, 4 поручика 2-го класса, 16 подпоручиков.
Каждая рота состояла из 1 капитана, 1 поручика, 2 подпоручиков, 1 старшего вахмистра, 4 вахмистров (сержантов), 1 фурьера, 8 капралов, 1 кузнеца, 2 трубачей, 79 кавалеристов, 2 воспитанников из солдатских детей.
Таким образом, кавалерийский полк имел 54 офицера, 112 унтер-офицеров, 8 кузнецов, 16 трубачей и 632 кавалериста.
Общая численность составляла 832 человека и 16 воспитанников.
Во второй половине 1811 года был проведен набор конскриптов, из которых и были сформированы в каждом кавалерийском полку запасные эскадроны, состоящие из двух рот.
Организация легкой кавалерии армии Наполеона от 18 июня 1811 года
Первоначально созданные императорским указом от 18 июня 1811 года, девять полков легкой кавалерии должны были быть приданы кирасирским дивизиям с задачей обеспечения разведки и стычек, проведения рекогносцировки и фланговых маневров, когда кирасиры находились в боевом строю.
Но помимо намерений императора, лёгкая кавалерия должна была, в соответствии с требованиями момента, адаптироваться к самым разнообразным задачам лёгкой кавалерии. Организованные подобно конным егерям, девять уланских полков были сформированы в четыре, пять или шесть эскадронов по две роты в каждом.
Первые шесть полков состояли из французов и носили форму, похожую на форму драгун, от которых они произошли, в то время как 7-й, 8-й и 9-й полки носили очень характерную форму «польского образца».
Следует отметить, что 7-й и 8-й полки были польскоязычными, а 9-й полк, произошедший от конных егерей, был немецкоязычным.
Польская кавалерия в войне 1812 года
Перед войной 1812 года штатная численность польских кавалерийских полков была приведена в соответствие с упомянутым выше королевским декретом от 30 марта 1810 года.
Так, в полку положено было иметь 4 эскадрона по 2 роты в каждом. Рота состояла из 3 взводов. Численность роты — 100 человек.
Штаб полка насчитывал 23 человека: полковника, майора, двух шефов эскадрона, казначея, двух старших адъютантов, медицинского служащего первого класса, двух медиков второго класса, двух — третьего класса, капеллана, штандартоносца, двух адъютантов-унтер-офицеров, полкового трубача, ветеринара, оружейника, седельного мастера, портного, портного по штанам, сапожника.
В феврале 1812 года в ходе подготовки к войне, увеличена численность рот до 120 человек; оплату лошадей, амуниции, вооружения и обмундирования взял на себя инициатор этих мер — Наполеон.
В результате проверок состояния материальной части, было выявлено множество недостатков. Это как непригодность к использованию сабель, ножен к ним, нехватка кухонной посуды, обозных фургонов, лошадей, так и некомплект, необученность и отсутствие слаженности личного состава, отсутствие медработников, амбулаторий и лазаретов.
При всем этом, кампанию 1812 года кавалеристы герцогства Варшавского прошли разделенными по корпусам Великой армии. Несмотря на пробелы в подготовке, они всю войну провели в первых рядах наполеоновских войск. Поляки неизменно сражались в авангарде, сдерживали противника, находясь в арьергарде, охраняли коммуникации. И, наконец, когда от Великой армии остались лишь толпы деморализованных, сбитых в кучки голодных бродяг, едва способных держать оружие, польские кавалеристы остались одними из немногих солдат, сохранивших хоть какую- то боеспособность, благодаря своему несгибаемому характеру и бережному отношению к своим лошадям.
Недаром в эскорт покинувшего Россию Наполеона были выбраны польские уланы, стойко перенесшие невзгоды, обрушившиеся на войска императора.
Уланы герцогства Варшавского в кампаниях 1813-1814 годов
17 декабря 1812 года, следуя приказу фельдмаршала М. И. Голенищева-Кутузова, армии под командованием генерала П. Х. Витгенштейна, адмирала П. В. Чичагова, а также подразделения атамана М. И. Платова пересекли государственную границу Российской Империи.
Уже 21 декабря их войска находились в окрестностях Тильзита, после чего военные действия начали разворачиваться на территории герцогства Варшавского.
Ослабленный арьергард маршала Нея, включавший 5-й корпус согласно приказу маршала А. Бертье от 2 декабря, был заменен частями маршала Э. Мортье. Эти силы насчитывали 1 500 пехотинцев и 600 кавалеристов, из которых 400 — польские шеволежеры гвардии.
Самым сильным кавалерийским полком герцогства в те дни был 3-й уланский — 20 офицеров, 719 солдат и 594 лошади. Самыми пострадавшими оказались кирасиры, их насчитывалось 5 офицеров и 76 солдат при 31 лошадь.
30 декабря был обнародован декрет Рады министров от 20 декабря 1812 года о созыве Посполитого рушения (всеобщего шляхетского ополчения). Понятовский был назначен региментарием (главнокомандующим) ополчения.
Однако этот проект окончился неудачей. На призыв собралось лишь несколько сотен кавалеристов, которые были включены в состав существующих полков.
Кроме Посполитого рушения, был объявлен набор конскриптов, на основании ноябрьского правительственного декрета. По этому набору предполагалось собрать 25 тысяч человек. Набор приписанных к полкам рекрутов проходил в четырех, не занятых русскими войсками, департаментах: познаньском, калишском, краковском и, частично, в радомском.
Дополнительно был объявлен чрезвычайный набор для кавалерии, в рамках которого, каждый департамент должен был выставить по одному снаряженному кавалеристу «от каждых 50 дымов» или дворов. В эти отряды «дымовой кавалерии» набирались вольные люди в возрасте от 18 до 40 лет. Они должны были иметь снаряженного коня, палаш или саблю, пику и пистолет.
Позднее эти формирования преобразовались в полки «Кракусов».
Недостатком ополчения являлось то, что его состав формировался из крестьян, а командование поручалось земским помещикам, не обладающим ни военным образованием, ни опытом. В результате, при удалении отрядов от места их формирования, значительная часть ополченцев дезертировала. Так, в самое скорое время, от Посполитого рушения осталось под хоругвями только 2 тысячи всадников.
Первый боевой опыт они получили в стычке 12 февраля 1813 года в селе Скашеве под Калишем, где полковник Бернацкий, командир калишского ополчения, потерял 350 человек, а сам попал в плен.
18 января 1813 года король Саксонии издал декрет о реорганизации армии герцогства Варшавского. На эту цель было выделено 1 145 557 флоринов, однако фактические расходы составили 6 499 919 флоринов.
9-й полк улан оставался на французском содержании.
Литовские войска в середине января 1813 года также были приняты Наполеоном на полное денежное обеспечение, из них на 15 января 1813 года под командованием Понятовского находились 18-й, 20-й и 21-й полки улан, насчитывавшие вместе всего 71 офицера и 369 солдат.
25 января 1813 года король Фридрих Август издал декрет о наборе в национальную гвардию по 1 человеку с каждых 20 домов и 10 кавалеристов с каждого округа. Однако, вторжение русской армии не дало закончить этот набор.
Понятовский использовал национальную гвардию для формирования третьих батальонов в пехотных полках, а конных гвардейцев включил в кавалерийские полки, несмотря на незаконность этих шагов.
18 февраля 1813 года неприятель занял Варшаву и главная квартира была перенесена в Краков.
Польские войска отступали двумя корпусами:
— один под командованием Понятовского, двигался по направлению на Петриков и Краков;
— второй, генерала Домбровского — к Глогау.
У первого были части кавалерийских полков: 1-го, 3-го, 4-го, 5-го, 6-го, 8-го, 11-го, 12-го, 13-го, 14-го и 16-го, а в корпусе Домбровского — части 2-го и 4-го полков, рота конных жандармов (литовцев) и депо 6-го, 7-го, 8-го, 10-го и 15-го (возможно частично 5-го и 14-го) полков.
13 февраля была прервана всякая связь между этими корпусами.
Кроме этих корпусов, группа польских войск, численностью около 4 500 человек, отошла в Данциг. В их числе находился и 9-й полк улан, силой в 30 офицеров и 413 солдат.
Еще одна группа войск была собрана в Познани и организована в дивизию под командованием генералов Ж.Б. Жирара и М. Брониковского. В ее основе были остатки 28-й пехотной дивизии из 9-го армейского корпуса. Между 16 января и 12 февраля к ним присоединились около 200 кавалеристов, главным образом из 2-го полка улан.
9 февраля 1813 года Понятовский утверждает новых командиров и сводит полки в дивизии. Пехота состоит из двух дивизий.
Кавалерия составила дивизию генерала А.П. Сулковского и включала бригады: генерала Я. И. Уминьского: 1-й, 2-й, 3-й и 16-й полки генерала 3. Курчатовского: 5-й, 6-й, 8-й и 20-й полки.
Кроме того, из 4-го, 14-го и 15-го полков была утверждена так называемая «левая» бригада генерала Бенедикта Юзефа Лончиньского, а из полков 10-го, 11-го, 12-го, 13-го и 18-го — «правая» бригада генерала Юзефа Толиньского.
16 февраля князь Понятовский был в Ченстохове. Туда же прибыло и все войско герцогства Варшавского, силой в 10 500 человек, из которых под ружьем находилось только 6 500. Остальные были откомандированы, находились в процессе формирования, пребывали в отпусках либо находились в госпиталях.
Пехота насчитывала около 5 000 человек, но в строю — примерно 3 000.
Кавалерия примерно также — формально около 5 000 человек. В ее состав входили полки: 1-й, 3-й, 11-й, 12-й, 13-й и 16-й, а так же части полков 5-го, 6-го, 7-го, 8-го, 10-го, 14-го и 15-го; кроме того, 18-й и 20-й литовские полки, вместе насчитывавшие 335 всадников. В строю кавалерия имела около 3 500 человек.
Главный штаб, полк пешей артиллерии, рота понтонеров, батальон помощников артиллерии и батальон саперов насчитывали вместе около 1 000 человек.
В марте войско размещается под Краковом. Полки кавалерии занимали южные предместья.
Что касается организации легкой кавалерии, то отряды ополченцев были разделены между регулярными полками, но оказалось невозможным использовать в кавалерии этих неопытных людей, на плохих и мелких лошадях. Во время пребывания в Ченстохове, Понятовский, по проекту генерала Уминьского, отобрал из «дымовых всадников» наиболее способных к кавалерийской службе, а остальных отослал в пехоту. Таким образом, сформировался полк, способный нести авангардную службу. Командиром был назначен опытный майор Жуховский.
По состоянию на 22 мая уланские полки имели следующий состав:
| Полк | Командир | Численность |
|---|---|---|
| 2-й уланский* | полковник Жодкевич | — |
| 3-й уланский | майор Жуховский | 382 |
| 6-й уланский | полковник Сухожевский | 427 |
| 7-й уланский | полковник Завадский | — |
| 8-й уланский | полковник Потоцкий | 496 |
| 9-й уланский | — | — |
| 11-й уланский | полковник Оборский | 397 |
| 12-й уланский | шеф эск. Забельский | 534 |
| 16-й уланский | полковник Тарновский | 570 |
| 17-й уланский | — | — |
| 18-й уланский | полковник Пжесдецкий | 186 |
| 19-й уланский | — | — |
| 20-й уланский | полковник Обухович | 450 |
2 июня было заключено перемирие и Наполеон принял меры по реорганизации своей армии. Особое внимание он уделил польской кавалерии, как в силу её заслуг, так и по причине острого недостатка кавалерии в Великой армии после компании 1812 года. Императорский декрет от 7 июня предполагал включить в состав войск Понятовского и обсервационный корпус Домбровского. 24 июня Наполеон приказал начальнику польских войск реорганизовать 8-й армейский корпус и дивизию Домбровского. На практике дивизия Домбровского так и не была присоединена, а образовала обсервационный корпус в окрестностях Виттенберга, поступив под командование маршала Ш.Н. Удино.
Понятовский воспротивился этой реорганизации, но декретом от 27 июня был утвержден новый состав войск герцогства Варшавского, и польские части образовали 8-й армейский корпус Великой армии, в котором, согласно 11-му пункту, уменьшалось количество кавалерийских полков из-за некомплекта личного состава, и из них формировались 6 полков в полные три эскадрона.
Каждый полк имел тот же штат, что и полки французских конных егерей.
В тяжелой кавалерии предполагалось, как и прежде, два эскадрона.
Оставшиеся полки кавалерии складывались следующим образом:
— 1-й полк конных стрелков из 1-го и 5-го полков;
— 3-й уланский полк из 3-го и 11-го полков;
— 6-й уланский полк из 6-го и 18-го полков;
— 8-й уланский полк из 8-го и 12-го полков;
— 13-й гусарский полк из 13-го и 10-го полков;
— 16-й уланский полк из 16-го и 20-го полков.
Согласно указанному декрету, предписывалось реорганизовать полки передней стражи. Первоначально 1-й полк был сформирован из департаментских добровольцев, пришедших с Понятовским из Варшавы в Краков.
2-й и 3-й полки были набраны во время пребывания польской армии в Кракове.
Вскоре три полка были объединены в 1-й сводный полк передовой стражи или Кракусов.
В ходе формирования польской кавалерии ощущался существенный недостаток в снаряжении и обмундировании. Сокольнинкий записал в дневнике:
В другом источнике о состоянии обмундирования конных стрелков говорилось:
После частых напоминаний Понятовского Наполеон приказал поставить из магазинов сукно на мундиры, плащи и шапки. Каждый полк должен был самостоятельно шить убор и беспокоиться об обуви и белье.
16 февраля 1813 года генерал Домбровский прибыл в Глогау и приступил к организации своего отряда. Из остатков семи кавалерийских полков, которые он привел с собой, были организованы два полка улан:
— 2-й под командованием Сухожевского, позже Жодкевича;
— 4-й под командованием Костанецкого.
Из них была сформирована бригада, начальником которой стал генерал Ланчиньский (позднее Круковецкий). Полки имели по четыре эскадрона.
В первой половине апреля кавалерия Домбровского сократилась на несколько десятков лучших всадников, направленных в польский шеволежерский полк гвардии.
Первоначальный состав кавалерии 4-го корпуса был следующим:
Командир: генерал Ф.Э. Келлерман, граф де Вальми;
начальник штаба: штабной полковник Ш.А. Батай де Танкарвилль;
7-я дивизия лёгкой кавалерии: генерал М. Сокольницкий;
17-я бригада: генерал В. Квасьневский:
— 1-й полк конных стрелков (510 коней) полковник Курнатовский;
— 3-й полк улан (600 коней) полковник Оборский;
18-я бригада: генерал Круковецкий:
— 2-й уланский полк (600 коней) полковник Жодкевич;
— 4-й уланский полк (600 коней) полковник Костанецкий;
8-я дивизия лёгкой кавалерии: генерал Сулковский;
19-я бригада: генерал Турно:
— 6-й уланский полк полковник Сухожевский;
— 8-й уланский полк полковник Антоний Потоцкий;
20-я бригада: генерал Я. Вейссенхоф:
— 13-й гусарский полк полковник Ю. Сокольницкий;
— 16-й уланский полк полковник Тарнавский;
— 2-я рота 6-го полка конной артиллерии (6 орудий, в т.ч. 4 6-фунтовых пушки);
Передняя стража: бригадный генерал Уминьский:
— 14-й кирасирский полк (1 эскадрон);
— полк Кракусов (4 эскадрона).
16 октября началось последнее крупное сражение, в котором участвовали войска герцогства Варшавского — «битва народов» под Лейпцигом. В этом сражении 8-й польский корпус, дивизия Домбровского, а также кавалерия Келлермана действовали независимо друг от друга.
8-й корпус героически прикрывал отступление Великой армии в завершающей фазе сражения под Лейпцигом. Когда мост через реку Эльстер был преждевременно взорван, части маршала Понятовского были почти полностью уничтожены, сам главнокомандующий польских войск был ранен и утонул, пытаясь переплыть через Эльстер. Большая часть уцелевших в сражении польских солдат сдалась в плен.
Со смертью Понятовского армия герцогства Варшавского пришла в упадок. Из 8-го армейского корпуса уцелело около 500 человек. Четыре конных полка из 4-го кавалерийского корпуса и бригада генерала Круковецкого, сильно поредевшие, отступили на запад.
После капитуляции Дрездена, в плен попали польские 13-й гусарский и 16-й уланский полки вместе с генералом Вейсенхоффом.
Малочисленная дивизия Домбровского также отступила на запад.
20 ноября уцелевшие польские части, которые остались единственными союзниками французов, были объединены в корпус, под командованием генерала Домбровского.
Первоначально Наполеон предполагал полностью упразднить пехоту и сформировать четыре уланских полка и два полка польских казаков. Однако, остатки кавалерии, согласно декрету от 18 декабря 1813 года, подписанному в Тюильри, были реорганизованы следующим образом:
— кавалерия сводилась в 1-й и 2-й уланские полки (нумерация не связана с прежними полками);
— из полка Кракусов был сформирован полк разведчиков или эклереров.
Переформирование было поручено Домбровскому и проводилось в Седане.
Уланские полки состояли из четырех рот по 129 человек в каждой, полк Кракусов включал в себя шесть эскадронов по 250 человек.
После этой реорганизации уланские полки имели следующую структуру:
— штаб полка состоял из: 1 полковника; 1 второго полковника; 2 шефов эскадронов; 2 старших адъютантов: 1 квартирмейстера; 1 старшего хирурга; 1 помощника старшего хирурга; 2 адъютантов сержантов; 1 старшего трубача; 1 мастера оружейника; 1 ветеринара сержанта.
Всего 14 человек;
— каждая из четырех рот имела: 1 капитана; 1 лейтенанта; 2 вторых лейтенантов; 1 старшего сержанта: 4 сержантов; 8 бригадиров (капралов); 1 квартирмейстера; 2 трубачей; 109 улан.
Всего — 129 человек.
Всего уланский полк должен был насчитывать 25 офицеров и 505 нижних чинов.
Все сверхштатные офицеры были сведены в четыре роты Почетной гвардии. Французы пытались привлечь польских офицеров на службу в свою армию, в которой ощущалась нехватка офицерских кадров. С этой целью полякам предлагалось повышение на один чин при переходе на французскую службу, но лишь немногие приняли это предложение.
На 1 января 1814 года польская кавалерия была собрана в Седане и имела следующий состав:
| Полк | Офицеры | Солдаты | Всего | Лошади |
|---|---|---|---|---|
| 1-й уланский | 25 | 505 | 530 | 399 |
| 2-й уланский | 25 | 505 | 530 | 336 |
| Кракусы | 78 | 997 | 1075 | 360 |
5 января Наполеон добавил по одному лейтенанта и одному второму лейтенанту в каждую роту уланского полка, что увеличило число офицеров до 33.
Польские уланы после первого отречения Наполеона
11 апреля 1814 года, после отречения Наполеона от престола, польским войскам было предоставлено право возвратиться на родину со своим военным имуществом. Эти войска были представлены императору Александру I в Сен-Дени и имели следующий состав:
Командующий: дивизионный генерал граф Красиньский;
Начальник штаба: бригадный генерал Толиньский;
Пехотная бригада: два пехотных полка;
Кавалерийская бригада: полковник Козетульский:
— 1-й легкоконный полк гвардии;
— 3-й полк разведчиков (эклереров);
— 7-й полк шеволежеров-лансьеров;
Кавалерийская бригада: генерал Курнатовский:
— 1-й польский уланский полк;
— 2-й польский уланский полк;
Артиллерия и инженеры: шеф эскадрона Я. Шверин:
— польская пешая батарея;
— польская конная батарея;
— польская саперная рота.
После возвращения на родину, эти войска вошли в состав новой армии Царства Польского.
УНИФОРМА Кавалерии Великого герцогства Варшавское
Согласно принятой инструкции 1807 года, войско княжества Варшавского, поделенное на три легиона или легии, должно было носить темно-синий мундир польского кроя, четырехугольную шапку (за исключением конных стрелков и артиллерии).
Цвета легионов были следующими:
— 1-й легион носил лампасы желтые, воротник и обшлага пунцовые;
— 2-й легион: все отвороты кармазиновые (малиновые);
— 3-й легион: белые, но в действительности носились воротник и обшлага красные.
Наибольшее расхождение с инструкцией было в начальный период формирования войска.
Инструкция от 2 марта 1807 года
Предписание для полка легкой кавалерии первой легии (первого легиона):
Служебный мундир офицера
Куртка синяя (польского кроя), воротник и обшлага пунцовые, лацканы желтые, под курткой белый жилет.
Рейтузы синие с двойным желтым лампасом. Пуговицы желтые.
Кивер (уланская шапка) на голове того же типа как и у рядового состава, но отличается обшивкой галуном по верху, а по низу пунцовый кожаный околыш. При службе носить сбоку черный перьевой султан.
Лядунка и ремень к ней — черные, лакированные, с обрамлением последнего двумя галунами по бокам.
Бляха желтая с белым польским орлом; накладки все плоские, золоченые.
Портупея вся золотая, пряжка желтая с белым орлом.
Палаш прямой, либо с легкой кривизной, насадки на ножнах желтые, эфес обычный, польский.
На левом плече носится золотой аксельбант, на правом эполет.
При малой парадной форме и для службы паны офицеры могут носить серые подшитые рейтузы с желтыми лампасами. На шее завязывать черный гладкий платок.
Конский убор
Ленчик гусарский с двумя луками. Ремни всякие, то есть: оголовье, подперстье, пахвы — из черного гладкого ремня; вальтрап поверх седла черного меха, три раза сукном обведен, то есть: синим, желтым и пунцовым с двумя галунами между ними. Два конца с низу свисают как у гусар.
Шефы эскадронов, майор и полковник имеют на вальтрапе три галуна с кистями и бахромой.
Разница званий
Подпоручик: эполет золотой с двумя шелковыми просветами пунцового цвета; плетение полукругом без бахромы;
Поручик: эполет один раз прошит по тесьме пунцовым просветом;
Капитан: эполет целиком золотой без бахромы;
Шеф эскадрона: эполет целиком золотой с тонкой бахромой;
Майор: тесьма поля эполет серебряная, а плетение и крупная бахрома золотые;
Полковник: эполет полностью золотой с крупной бахромой.
Аксельбанты у всех одинаковые. Фельдшеры согласно рангу.
Дополнительный для службы малый мундир
Фрак синий с острыми отворотами (лацканы типа «ласточкин хвост»), выпушка везде желтая, пуговицы слегка выпуклые, золоченые; воротник и обшлага синие.
Жилет пунцовый с желтыми шнурами и маленькими пуговицами по гусарски нашитыми.
Штаны длинные, венгерские, с расшивкой желтыми шнурами.
Шляпа с соответствующей тесьмой, белой кокардой и черным султаном.
Эполет и аксельбант как при куртке.
Сапоги венгерские.
В кавалерийских полках 2-й и 3-й легии паны офицеры по форме должны быть полностью обмундированы как и в легии 1-й, с той только разницей, что всегда должны соблюдать цвета своей легии и в тех, где пуговицы белые (2-ая легия) все золото должно быть заменено серебром, то есть: эполеты, галуны, аксельбанты и лядунки, а оправка палашей железная. Конский убор предписанный для панов офицеров 1-ой легии такой же, как и для офицеров иных легии с разницей только в галунах золотых либо серебряных, согласно пуговицам.
Для рядовых вальтрап из белого барана с оторочкой цвета легии.
Замечание
Все офицеры могли носить вне службы малые мундиры, согласно выше указанным предписаниям. Однако куртка не означает службу — только парадный мундир. Знаки службы кавалерии для старших офицеров — шарф и лядунка.
Все офицеры на службе должны носить рейтузы поверх сапог, портупею поверх куртки, от верху до низу застегнутой.
Галстук черный завязывать изнутри, сверху белая выпушка. Жабо не должно быть видно.
Палаш кривой в запаянных ножнах.
В марте 1808 года офицеры кавалерии подали просьбу королю об отмене галунов при мундирах. Это прошение как поданное через голову непосредственного начальства было оставлено без ответа, а офицеры получили взыскания.
Тем не менее, инструкция 1807 года не разделяет улан и конных стрелков. Если с первыми в Польше существовали традиции в обмундировании, то, как одеваться вторым, было не вполне ясно. Известно, что до конца 1807 года конные стрелки облачались в синие мундиры того же кроя, что и уланы и внешне отличались лишь вооружением, да головными уборами, и то многие носили как в уланских, так и в полках шассеров «мягкие» конфедератки с меховым околышем.
С 1808 года за образец был взят крой французских конных егерей, но синего цвета. Все офицеры этих полков носили медвежьи шапки со шлыком, а нижние чины кивера, либо трофейные прусские, либо французского образца.
Ко времени войны с Австрией (1809 год), шапки улан изменились. Так околыш стал кожаным не только у нижних чинов, но и у офицеров, обшивка по верху галуном на портретах того времени так же практически не встречается.
Донышко покрывает черная кожа, края которой на 1,5 дюйма спускаются на боковины.
Сама тулья (четыре боковых стороны) выполняется из фетра.
Шапка в таком виде дошла до 1813 года и была официально введена инструкцией 1810 года (см. ниже).
В ходе войны с австрийцами в 1809 году возникли новые полки кавалерии.
С целью привести их обмундирование к единому образцу, утвердить проверенные временем варианты и отсечь ненужное, была издана и подписана королем инструкция об обмундировании кавалерии.
Инструкция от 3 сентября 1810 года
Предписание для полков улан.
Главный мундир
Состоял из суконной темно-синей куртки, так называемого польского кроя. Воротник застегнут на три крючка. Обшлага у рукавов круглые. Отвороты на груди развернутые. Карманы вдоль фалд. Выпушки вокруг обшлагов, отворотов, на задних швах у рукавов, по спине к фалдам, на карманах. Пуговицы плоские, желтого металла с номером полка, на лацканах по 7 с каждой стороны, на каждом кармане по 3, на фалдах по 2, для эполета по 1.
— рядовой центральной роты 7 полка;
— рядовой центральной роты 8 полка;
— рядовой центральной роты 9 полка.
Компьютерная графика А.Шатулина.
Рейтузы синие суконные длинные, с двойными лампасами, полтора дюйма шириной (3,81 см), имеющие между собой маленькое расстояние.
Носились поверх сапог.
Застегнуты с низу на шесть петель и одну обтяжную, цвета лампаса, пуговицу.
Штрипка из черного ремня.
Жилетка белая суконная, из под куртки не видно.
Шапка из черного фетра, круглая снизу, сверху квадратная, высотою 9 дюймов (22,86 см) и длинною каждой из четырех боковин 10 дюймов (25,4 см).
Внизу боковин на околыше был нашит золотой галун у офицеров и белая тесьма у солдат, шириною 2 дюйма (5,08 см).
Каждый из четырех углов имеет желтую бляшку с крючком для завязывания шнуров.
С левой стороны национальная кокарда, на которой у офицеров был золотой «мальтийский» крест и вокруг, у всех офицеров, золотой шнурок, у рядовых — белый нитяной, в отборных ротах — красный.
Спереди над галуном желтая бляха с номером полка.
Козырек черной кожи с желтой металлической оковкой.
Султан перьевой либо конского волоса, 15 дюймов длиной (38,1 см), черный.
У штаб-офицеров белый, в отборных ротах пунцовый.
Подбородный ремень черной кожи.
Отборные роты носили шапки, обшитые черным бараном либо медвежьего меха бермуцы, сверху которых были пунцовые мешки (шлык) с кистью.
— рядовой элитной роты 16 полка;
— рядовой центральной роты 15 полка.
Компьютерная графика А.Шатулина.
Под рейтузами полусапожки. Шпоры желтого металла, привинчены к каблуку.
Шейный платок черного цвета с белой выпушкой.
Перчатки с крагами, у офицеров лакированными.
Малый офицерский мундир
Включает в себя суконный фрак, застегнутый спереди на 9 пуговиц.
Воротник застегивается на 3 крючка.
Обшлага остроконечные, с выпушкой, застегиваются на 2 пуговицы. Карманы вдоль фалд трехконечные, с выпушкой.
Фалды застегнуты внизу.
Фрак спереди срезан к бедрам.
Пуговицы полукруглые, желтого металла, с каждой стороны у карманов по 3 и по 1 у эполет.
Штаны длинные, синие.
Сапоги короткие.
Шляпа соответствующая.
Сюртук с карманами сзади в фалдах. Застегивается с обоих сторон на 7 пуговиц.
Плащ синий с прямыми рукавами, обрезанный снизу кругом, воротник стоячий, полкового цвета. Пелерина, то есть второй воротник, свисает с плеч ровно до талии. Рядовые имели подобный плащ, но белого сукна.
— центральной роты 8 полка;
— элитной роты 16 полка.
Компьютерная графика А.Шатулина.
Виц-мундир
Отличался от парадного тем, что был спереди обрезан как фрак. При нем носилась жилетка с гусарской шнуровкой (шнуры желтого цвета), либо обычная белая, синяя или черная.
Штаны допускались от парадного мундира, либо суконные белые, часто вышитые золотым шнуром на гусарский манер.
Сапоги гусарские сафьяновые(?) красные.
Разница званий
Как у конных стрелков.
Погон золотой, как в пехоте, с той разницей, что тесьма была в «карпью чешую» золотого металла.
Этишкет серебряный. Помпон золотой.
Оружие
Палаш кривой с желтой рукоятью и железными ножнами.
Пистолеты калиброваны в латунную оправу.
Лядунка как у конных стрелков, офицерская парадная портупея шириной 3 дюйма (7,62 см), кожаная, носится поверх куртки, обшита по краям желтым галуном, шириной пол дюйма (1,27 см). Спереди бляха желтого металла с белым польским орлом.
Пряжка желтого металла.
Портупея рядовых белая, кожаная.
Лядунка офицеров черная с желтыми накладками. Верхняя часть черной лакированной кожи с оковкой по краю желтого металла. В середине лавровый венок или егерский рожок с номером полка, в отборных ротах гренадка. Перевязь такая же, как и портупея, но со щитком на груди с выбитым номером полка. Пряжка, запряжник и накладка желтого металла.
Экипировка коня
Офицерская была согласно следующему предписанию: Лука задняя по шару покрыта латунной оковкой. Вальтрап и чемодан синий суконный с черным бараном, как у конных стрелков, тесть, по краю вальтрапа приборного цвета выпушка и золотой галун (у старших офицеров галун двойной). Сверху вальтрап покрыт бараньей шкурой черного цвета. Поводья, мундштучное оголовье и трензельная уздечка черного ремня с латунными пряжками. Надлобье, подперстье и пахва черной кожи (на первых двух латунные бляхи с номером полка).
Чемодан круглый длиной 1 локоть и 6 дюймов (72,84 см), с верхней шнуровкой и клапаном, застегнутым на 5 пуговиц. По бокам выпушка полкового цвета и номер полка.
Униформа трубачей польских улан
В их обмундировании была большая разница, зависящая от пристрастий и состояния командира полка.
— центральной роты 7 полка.
В 7 полку у трубачей была уланская шапка с белыми стеганными боковинами и белым околышем. Султан «плакучая ива» и этишкет пунцовые. Такого же цвета на белой куртке и лацканы. Воротник и эполеты как у нижних чинов.
— элитной роты 9 полка.
Трубачи 9 полка были в белых бермуцах с пунцовыми шлыком, этишкетом и помпоном. Султан — верх пунцовый, низ белый. Белая куртка с пунцовыми обшлагами и воротником. Лацканы синие. Выпушки лацканов и обшлагов белые. Эполеты желтые;
— элитной роты 16 полка.
В 16 полку трубачи носили белые барашковые шапки с козырьком, украшенные спереди белым орлом над щитком амазонки. Шлык кармазиновый, султан типа «плакучая ива» и этишкет пунцовые. Куртка белая. Кармазиновые с белыми выпушками воротник и лацканы. Отвороты фалд кармазиновые. Выпушка по спине белая. Эполеты латунные с белой бахромой.
Компьютерная графика А.Шатулина.
На голове они носили белые бермуцы.
Польского кроя мундир был белого цвета. Кони подбирались под них серой масти.
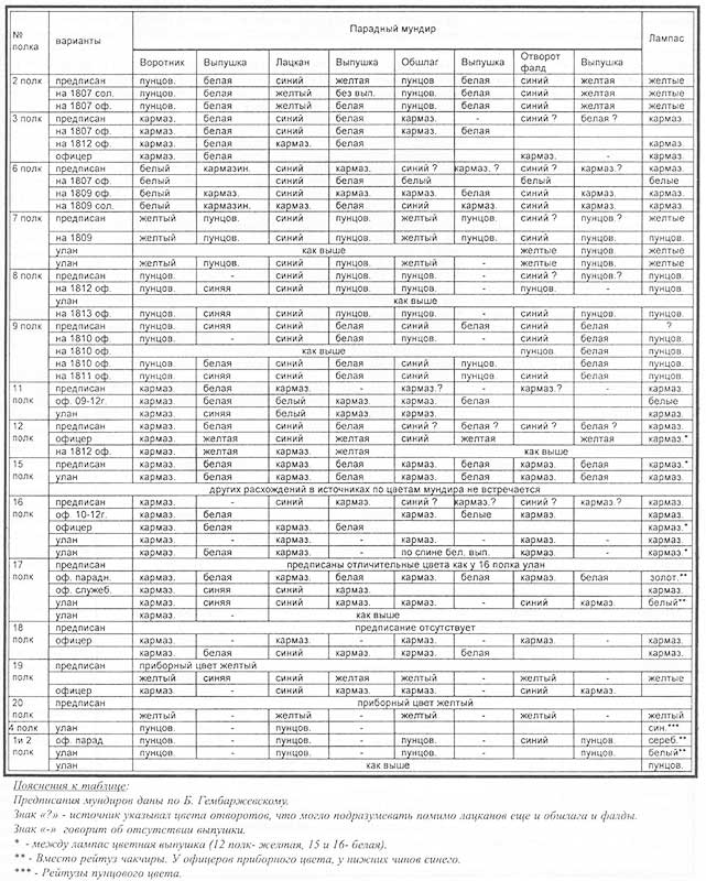
Отличительные цвета мундиров уланских полков
— 2-й полк — воротник и обшлага пунцовые с белой выпушкой, отвороты синие с желтой выпушкой, лампасы желтые;
— 3-й полк — воротник кармазиновый с белой выпушкой, отвороты синие с белой выпушкой, обшлага кармазиновые (кармазиновый цвет — от перс. قرمز [кирмиз] — «красная, алая краска, изготовляемая из кошенили».);
— 6-й полк — воротник белый с кармазиновой выпушкой, отвороты синие с кармазиновой выпушкой, лампасы кармазиновые;
— 7-й полк — воротник и обшлага желтые с пунцовой выпушкой, отвороты синие с пунцовой выпушкой, лампасы желтые (пунцовый цвет – «насыщенный, густой, ярко-красный цвет, часто с темноватым или алым оттенком»);
— 8-й полк — воротник и обшлага пунцовые, отвороты синие с пунцовой выпушкой, лампасы пунцовые;
— 9-й полк — воротник пунцовый с синей выпушкой, отвороты синие с белой выпушкой, обшлага синие с белой выпушкой, фалды синие с белой выпушкой;
— 11-й полк — воротник кармазиновый с белой выпушкой, отвороты и лампасы кармазиновые;
— 12-й полк — воротник кармазиновый с белой выпушкой, отвороты синие с белой выпушкой, лампас кармазиновый;
— 15-й полк — воротник кармазиновый с белой выпушкой, отвороты, обшлага и лампасы такие же;
— 16-й полк — воротник кармазиновый, отвороты синие с кармазиновой выпушкой, лампасы кармазиновые;
— 17-й полк — как 16-й;
— 19-й полк — полковой цвет желтый.
Несмотря на разосланные по полкам предписания, оставалась большая разница и неодинаковость в мундирах, как и в случаях употребления разных типов мундиров.
Мундиры офицеров для службы представляли собой «польские виц-мундиры» или копию парадного, но с различными упрощениями, например — кроем фалд без загибов, отсутствием выпушек по рукавам и спине или закругленным концам лацканов.
Солдаты носили куртки и рейтузы старого образца, что, несомненно, было продиктовано бережливостью к новым мундирам.
При реорганизации польской кавалерии в Зиттау в 1813 году несколько полков были сведены вместе, однако это не означало замену мундира. Введенные в состав другого полка, кавалеристы продолжали носить свои прежние цвета.
Ниже приводятся таблицы, показывающие вполне реальные варианты носимой униформы в уланских полках, составленные по рисункам и воспоминаниям современников, а так же по мундирам, дошедшим до наших дней и находящихся в различных музеях Европы.
Нижние чины уланских полков до 1810 года при парадной униформе так же часто изображались с аксельбантами на левом плече. В отборных ротах они были пунцового цвета, в центральных белого.
Эполеты в отборных ротах были с пунцовой бахромой, в центральных с белой. Поле эполет полагалось из латунных пластин, нарезанных чешуей. Но в ряде случаев носились и целиком белые или пунцовые варианты.
Если в прикладном цвете встречался желтый, то и эполеты могли быть такими.
Однако часто уланы изображались в погонах синего сукна, различной формы с выпушкой по краю прикладного цвета или без таковой. В походе и в лагере эполеты, скорее всего, не носились. Нижние чины полков, формировавшихся в 1813 году официально эполет не получили, за исключением отборных рот, но 4 уланский полк изображен с полностью желтыми эполетами и аксельбантом.
Пики польских улан
Уланы княжества Варшавского обзавелись пиками образца 1812 года высотой 2 м 873 мм, подобно введенным в гвардейском польском полку улан, и аналогом пик Надвисланского легиона в 2 м 648 мм.
К 1814 году длина этого оружия пришла к отметке 2 м 850 мм.
Древко пики делалось из ясеня, пропитанного смесью льняного масла и дегтя.
Единственными металлическими элементами были наконечник и пятка на другом конце древка. В руках опытного кавалериста это оружие было страшным для противника и, пожалуй, самым эффективным из кавалерийского арсенала.
Флюгера, скорее всего, в каждом полку были своего размера. К примеру, гвардейский флюгер имел длину 730 мм, ширину 487 мм и от древка до выреза 487 мм.
Флюгер княжества Варшавского из собрания Государственного исторического музея соответственно — 620 мм, 315 мм и 275 мм. Кроме того, верхняя и нижняя полоса шириной в 135 мм, а центральная в 45 мм.
Помимо этого, встречаются ротные и эскадронные флюгера, повторяющие цвета флюгеров полка, но гораздо большего размера.
Пика тупым концом вставлялась в тулейку (бушмат), из грубой черной кожи, высотой 80 мм, диаметром сверху 45 мм, снизу 25 мм. По верхнему и нижнему краям тулейки нашивались ремни шириной 25 мм, которыми она крепилась к стремени.
Нужно добавить, что как правое, так и левое стремя были снабжены такими бушматами.
Немного выше центра, древко обматывалось белым ремнем (длина 2 м 106 мм), сверху образующем петлю, и пика вставленная в тулейку с накинутым ремнем на плечо освобождала руки кавалериста.
Цвет флюгеров
Помимо прикладного цвета мундира, полки улан отличались и цветом флюгеров.
Общая информация об униформе легкой кавалерии после 1811 года
Первоначально, 9 июля 1811 года, императору была представлена униформа, единая для всех девяти полков, которую он утвердил только для первых шести. Для 7-го, 8-го и 9-го он хотел сохранить униформу польского образца, тем самым обозначив свое намерение позволить полякам сохранить свою национальную форму, в которой эти кавалеристы недавно отличились в Испании, особенно 7-й полк, ранее 1-й Вислинский уланский полк, который только что завершил сложную пятилетнюю кампанию на полуострове.
Эта отличительная польская униформа характеризовалась двумя основными элементами:
— шапской;
— курткой.
Остальная одежда и снаряжение оставались французскими или венгерскими.
Чапска (Le czapska) и её отделка
Иногда также пишется как «chapka» или «schapska».
Этот очень характерный головной убор с квадратным павильоном состоит из кожаного тюрбана, увенчанного стеганой тканью императорского синего цвета, место соединения двух частей закрыто широкой белой тесьмой.
Флаг украшен белой тесьмой, а концы защищены жестью. Один из этих «гвоздей», тот, что справа, имеет крючок для подвешивания подбородочного ремня, когда он не носится под подбородком. Тюрбан также украшен, помимо козырька, окаймленного белым металлом, двумя розетками в виде львиных голов, к которым прикреплен подбородочный ремень, обшитый синей тканью. С левой стороны флага находится трехцветная кокарда.
Над ней расположен отличительный помпон роты, согласно правилам 1812 года:
— красный — 1-й эскадрон;
— небесно-голубой — 2-й эскадрон;
— авроровый – 3-й эскадрон;
— фиолетовый — 4-й эскадрон.
Каждая вторая рота должна иметь помпон того же цвета, но с белой сердцевиной.
На практике до конца службы носили именно плюмаж:
— 7-й полк — черный на три четверти своей длины и небесно-голубой вверху;
— 8-й полк — темно-зеленый или черный на три четверти своей длины и желтый;
— 9-й полк — полностью красный.
В Регламенте пластина не упоминается, и только иллюстрация Карла Верне (Carle Vernet) указывает на то, что они присутствовали у трубачей и офицеров. Эта пластина изготовлена из латуни с радиальным фоном и центральным щитом, на котором выгравирована имперская буква N.
У младших офицеров N серебряная на золотом фоне, а у старших офицеров — золотая на серебряном щите с золотыми лучами.
Немногие сохранившиеся экземпляры украшены пластиной, на щите которого выгравирован коронованный орел, сидящий на связке из четырех копий. Неизвестно, когда они впервые появились.
Куртка (La kurtka)
Также называемая «kourka» или «kourki», эта куртка очень похожа на ту, которая стала популярной во Франции благодаря правилам 1812 года, но с угловатыми отворотами, отсылающими к польским обычаям.
Куртка пошита из ткани императорского синего цвета с подкладкой из парусины. Окантовка характерного цвета украшает задние швы и заднюю часть рукавов; длинные карманы, складки и обтачки также имеют характерную окантовку.
Над правым фалом расположена синяя нашивка с характерной окантовкой, которая застегивается на пуговицы поверх и закрепляет тканевый пояс.
Пуговицы — белые металлические полусферические, расположенные следующим образом: семь больших пуговиц на каждом лацкане, три большие пуговицы на каждом кармане, четыре большие пуговицы на складках, одна большая пуговица на поясном ремне, три маленькие пуговицы на каждой обтачке и одна маленькая пуговица на каждом плечевом погоне.
Последние имеют форму щитка и обрамлены каймой.
Уланы элитных рот носят красные шерстяные эполеты с бахромой, как у гренадеров.
Тканевый пояс (La ceinture d’étoffe)
Особого типа, он обхватывает туловище выше талии и застегивается под правой рукой.
Изготовлен из шерстяной нити, сплетенной в ремень шириной 9 см и длиной 189 см, и украшен четырьмя белыми и тремя синими полосками одинаковой ширины. Весь пояс подшит серым полотном и 8,5-сантиметровой кожаной тесьмой.
Для затягивания используются три пряжки со штырьками и буфаловыми накладками, которые закрепляются на трех соответствующих ремешках. Излишки ремня удерживаются синей петлей с белой окантовкой.
Следует отметить, что ремень для сабли носится под тканевым поясом, что позволяет представить себе неудобство такого многослойного наряда: рубашка, брюки, куртка, ремень для сабли и тканевый пояс.
Конюшенная куртка, жилет и штаны (Veste d’écurie et gilet)
Конюшенная куртка отличается от обычной модели лишь тем, что сшита из синего трикотажа и имеет внизу, на талии, два застегивающихся на пуговицы клина.
Все пуговицы — крупные, одинаковые.
Что касается жилета, то он выполнен из белого сукна, застегивается на мелкие одинаковые пуговицы, имеет круглый крой и два кармана с клапанами, из которых открыт только правый.
В конюшенной форме куртка, конечно же, дополняется широкими брюками из тткани.
Сапоги (Les bottes)
Они имеют особый крой: с коротким голенищем, скругленным по низу и сшитым сзади.
Шпоры относятся к типу легкой кавалерии и прочно прикреплены к каблуку.
Венгерские бриджи (Culotte hongroise)
Общие для всей легкой кавалерии, они сшиты из синей ткани, с белой тесьмой, обрамляющей переднюю часть в виде перевернутых пиков и подчеркивающей внешний шов каждой штанины.
Шинель (Le manteau)
В стиле плаща-капота, из белой ткани, простеганной синей тканью на одну восьмую, с отворотами на рукавах.
Четыре петлицы застегивают ее на груди.
— слева: улан 8-го полка в покалеме, рубахе, жилете и штанах для верховой езды;
— по центру: кузнец элитной роты 1-го эскадрона 9-го полка;
— справа: старший унтер-офицер 9-го полка в плаще-капоте.
Высокий белый тканевый воротник.
Круглая ротонда с тремя петлями для пуговиц, боковые карманы на двух пуговицах и застежка на четыре пуговицы сзади; все пуговицы форменного типа.
Передняя часть изнутри отделана полосой из ткани кади характерного цвета.
Панталоны для верховой езды (Pantalon de cheval)
Этот предмет одежды, который в основном носят уланы в большинстве случаев службы, изготовлен из синего трикотажа, намеренно имеет свободный крой и застегивается на пуговицы сбоку сверху вниз поверх сапог с помощью восемнадцати костяных пуговиц с каждой стороны, которые имеют характерную окантовку. Застежка проходит от одного шва до другого.
Промежность и нижняя часть штанин усилены подкладкой из черной телячьей кожи.
Панталоны для верховой езды, как и венгерские бриджи, всегда носят с подтяжками.
Полицейская шапка (Bonnet de police)
Как и остальные, уланы, согласно Регламенту 1812 года, получали «покалем» (le pokalem) — ещё один вариант шапки, впервые утверждённой в 1767 году, которая, несмотря на свою неприглядность, ценилась за удобство. Шапка имела оголовье с откидными ушами, круглую чашу и значок на лбу с номером полка. Каждый элемент был отделан характерной цветной окантовкой.
Вся внутренняя часть фуражки была подбита тканью.
Оружие и снаряжение
Согласно тексту 1812 года, вооружение легкой кавалерии состояло из копья, сабли, мушкета, пистолета и топора. Половина этих кавалеристов, вооруженных мушкетом, не имела копья, и наоборот.
Ветеринары, квартирмейстеры, интенданты, горнисты и кузнецы не имели ни копья, ни мушкета, а только два пистолета, в то время как бригадиры имели пистолет и мушкет, но не копье.
В действительности, все легкие кавалеристы с конца 1811 года будут вооружены мушкетом со штыком модели IX года, а также пистолетом XIII года.
Копье было модели 1811, а затем 1812 года, причем эти два типа различались лишь некоторыми размерами.
Что касается снаряжения, то оно включало в себя ремень конно-егерского типа с двумя кольцами, штыкодержателем, петлей и застежкой, ремень для мушкетона с латунной застежкой и патронташ легкой кавалерии, отделанный латунью. Ремень мог быть украшен имперской буквой «N» или был однотонным.
Униформа трубачей
По всей видимости, в начале существования полка трубачи носили синюю суконную форму полка, отделанную белой тесьмой. Позже им пришлось перейти на зелёную форму, предусмотренную регламентом 1812 года, с императорской ливреей, неизвестно, в какой степени это было реализовано.
Униформа офицеров
Помимо формы своего подразделения, офицеры имели также сюртук и редингот для ношения в городе или в казарме.
— слева: капитан 8-го полка в рединготе (в городской форме);
— по центру: трубач 8-го полка в форме 1812 года;
— справа: полковник штаба 9-го полка в парадной форме.
Вся форма шилась из тонкого сукна, а металлические детали изготавливались из серебра.
Пояс — из белого и синего шелка.
Эполеты, шнуры для сабель и тесьма — из серебра.
Чапска, обшитая кожей и тонким сукном, в парадной форме украшена плетеным шнуром с серебряными наконечниками.
Пояс венгерского образца из черной лакированной кожи с серебряной стежкой и чеканными накладками в виде головы Геракла.
Нижний пояс для повседневной формы изготовлен из отбеленной кожи буйвола и предназначен для ношения сабли. Он также может быть из черной лакированной кожи.
— майор 9-го полка в выходной форме;
— бригадир-фурьер (brigadier-fourrier) 8-го полка;
— старший унтер-офицер (adjudant sous-officier) 7-го полка в бальной форме;
— майор штаба 9-го полка в полной форме.
В принципе, офицеры легкой кавалерии не использовали патронташ, но это правило, по-видимому, часто нарушалось.
Отличительные цвета полков:
— 7-й полк: жёлтый (воротник, отвороты, лацканы, манжеты и окантовка);
— 8-й полк: жёлтый (отвороты, лацканы и окантовка);
— 9-й полк: светло-коричневый (воротник, отвороты, лацканы, манжеты и окантовка).
Отличительные знаки званий
Эти знаки являются общими для всей лёгкой кавалерии и имею тот же цвет, что и пуговицы.
Так для польских улан легкой кавалерии – это серебряный.
Галуны, пришитые на обоих рукавах куртки и плаща-капота, имеют ширину 25 мм.
Нашивки за выслугу лет (старшинства) выполнены из красной шерсти, имеют ширину 15 мм и носятся на левом рукаве.
Кузнецы носят белую нашивку в виде подковы на правом рукаве.
Элитные роты в качестве отличительного знака носят красные эполеты пехотных гренадеров.
— Бригадир (Brigadier): две белые шерстяные тесьмы на предплечье;
— Фурьер (Fouffier): одна серебряная тесьма поперек руки;
— Сержант-квартирмейстер (Brigadier-fourrier): одна серебряная полоса на предплечье и еще одна поперек руки;
— Сержант (Maréchal-des-logis): одна серебряная полоса на предплечье;
— Старший сержант (Maréchal-des-logis-chef): две серебряные полосы на предплечье;
— Старший унтер-офицер (Adjudant sous-officier): серебряный эполет на правом плече с витым узором и бахромой, перемежающейся красными полосами; тело эполета украшено двумя малиновыми полосами, идущими вдоль. Контр-эполет без бахромы на левом плече, соответствующий ремешок сабли;
— Второй лейтенант (Sous-lieutenant): эполеты идентичны, но перевернуты, бахрома на левом плече;
— Лейтенант (Lieutenant): идентичны, но с одной малиновой полосой, бахрома на левом плече;
— Капитан (Capitaine): идентичны, но полностью серебряные;
— Командир эскадрона (Chef d’escadron): два серебряных эполета — с витой бахромой на левом плече;
— Майор (Major): два эполета с серебряной бахромой и золотыми телом на каждом плече;
— Полковник (Colonel): Два эполета с серебряной бахромой и витой тесьмой на каждом плече.









